CFD Online Logo CFD Online URL
www.cfd-online.com
[Sponsors]
Home > Forums > General Forums > Main CFD Forum

k-epsilon problem: non-physical turbulent viscosity production in coaxial free-jet

Register Blogs Members List Search Today's Posts Mark Forums Read

Reply
 
LinkBack Thread Tools Search this Thread Display Modes
Old   July 26, 2010, 10:45
Default k-epsilon problem: non-physical turbulent viscosity production in coaxial free-jet
  #1
New Member
 
Felipe B. Ch.
Join Date: May 2010
Posts: 15
Rep Power: 17
Felipeb is on a distinguished road
What are some unexpected producers of turbulent viscosity when using k-epsilon?

In our simulation, concentrically aligned free-jets are simulated for comparison with experimental data.

In this figure, turbulent viscosity measured on the domain's centerline is shown in red, the axial velocity measured on the domain's centerline is shown in green, and the experimental axial velocity data which we seek to match is shown in orange. These curves are overlaid on top of the domain which is shown in blue.




Why would k-epsilon produce the large amount of turbulent viscosity starting at about 40% of the length of the domain?

Grid dependency in the direction of flow has been eliminated.

Further simulation details:
  1. Fluent
  2. 2D Axisymmetric
  3. Incompressible
  4. Species Transport model Hydrogen-Air
  5. Concentric velocity-inlets: inner: Hydrogen, turbulence intensity 4%
  6. Concentric velocity-inlets: outer: Air, turbulence intensity of 3%
  7. Pressure inlet: Air, 1 atm
  8. Pressure outlet: 1 atm
Very grateful for any advice or suggestions on how to remove/remedy this non-physical turbulent viscosity production.

Last edited by Felipeb; July 26, 2010 at 11:02.
Felipeb is offline   Reply With Quote

Old   July 26, 2010, 18:02
Default k, epsilon, rho plot
  #2
New Member
 
Felipe B. Ch.
Join Date: May 2010
Posts: 15
Rep Power: 17
Felipeb is on a distinguished road
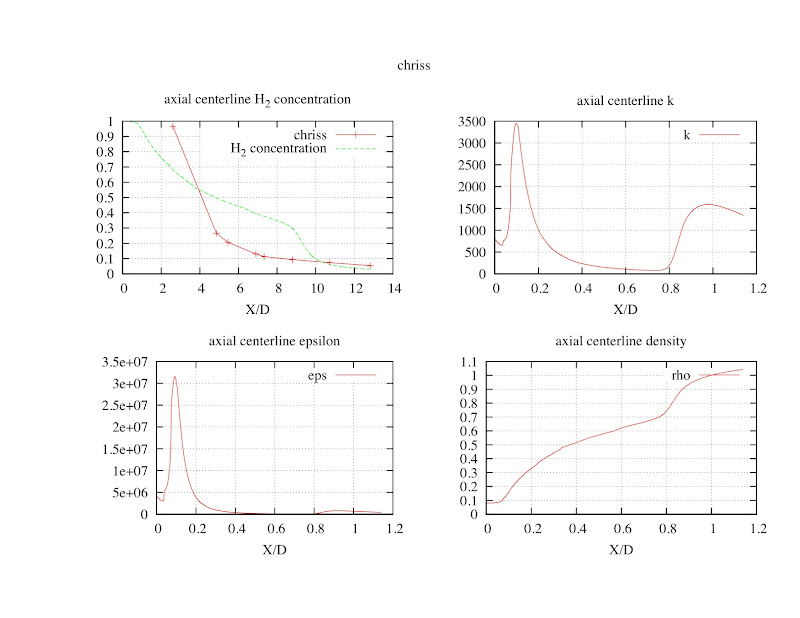
Below are plotted the constituent quantities comprising the turbulent viscosity in our simulation.
The turbulent viscosity is defined as follows:



From initial inspection of the plots, it looks like k is at fault.

Why would k suddenly jump at X/D = 8 ? Any suggestions?

Last edited by Felipeb; July 27, 2010 at 01:40.
Felipeb is offline   Reply With Quote

Reply

Thread Tools Search this Thread
Search this Thread:

Advanced Search
Display Modes

Posting Rules
You may not post new threads
You may not post replies
You may not post attachments
You may not edit your posts

BB code is On
Smilies are On
[IMG] code is On
HTML code is Off
Trackbacks are Off
Pingbacks are On
Refbacks are On


Similar Threads
Thread Thread Starter Forum Replies Last Post
Turbulent viscosity in a riser ap FLUENT 8 April 19, 2003 09:00
Problem of Turbulent Viscosity Ratio Limited David Yang FLUENT 3 June 3, 2002 07:13
Asymmetric water free jet study Norberto Parreira Main CFD Forum 7 June 25, 2001 09:23
Turbulent viscosity Christian Holm Main CFD Forum 4 June 23, 2001 23:04
Radial jet with free surface using FIDAP Dr. Ahmed Hassaneen Main CFD Forum 0 October 28, 1999 14:20


All times are GMT -4. The time now is 20:45.